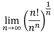
とあるところで、こんな数式が紹介されていた。

Excelで、雰囲気だけ掴んでみよう。

まず「n!」は階乗を表す。例えば5!と書けば、
5×4×3×2×1
を表す。Excelで階乗を求めたい場合は、FACT関数を用いる。

nのn乗などの「べき乗」は、この記号を用いる「^」。
例えば10の2乗は、こうなる。
10^2
√10など、平方根(ルート)であれば、10^(1/2)と表せる。
ということで、これらを一つずつ計算してみるとこうなる。

この時点では、何のことやら分からない。しかしこの逆数を見てみると
このようになっている。

この計算結果は最終的に、ネイピア数e(=2.718281828・・・)分の1に
なるそうな。従って逆数にすれば、徐々にネイピア数に近づく訳で。
或いは、計算結果にネイピア数を掛けてプロットしてみれば、nを大きくする
に連れ、徐々に1へ近づく様子が見て取れる。

数学って不思議だなと、改めて思った次第。
参考まで。